
The velocity of the water will be higher in Layer 2 and the contaminant will spread faster than in Layer 3.
Skip 2-15
Now I want you to glance (that's less than a skim) at 2-16 and 2-17. You'll be happy to know that you do not have to do anything with those equations. But see below.
Skip 2-18 and 2-19
Read 2-20.
About contaminant movement in groundwater.
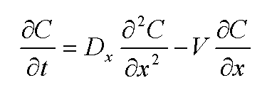
Contaminant movement in groundwater is controlled by advection and dispersion and often degradation, as well. The complex equations in sections 2-16 and 2-17 only deal with advection. Here's what they look like in one dimension with dispersion thrown in:

Which, roughly translated, means that the change in concentration of contaminant C with time in the X direction is equal to the dispersivity Dx in the X direction times the the change in concentration gradient of C with respect to X minus the velocity times the change in concentration with respect to x. The first term accounts for the dispersivity of the medium and second for the velocity of the water.
Often there is degradation as well. Here is that same equation with some first order degradation.

Note the "k" must be determined. In fact the degradation rate is often not first order and there are frequently several processes, not one. Here is a vector form of the equation that accounts for all three dimensions.

The superscript 2 means these are second-order partial differential equations and there is no explicit solution for them in cases of practical interest. They are solved using techniques of numerical analysis such as finite element or finite difference. Now I don't want you to know any of this for this course, the point is that actually determining the movement of contaminant in groundwater is very complex. It is complex
Determining this transport is made feasible by assumptions and computers. But 
  often the computer solutions are limited by processing time. Scientists and 
  engineers have developed approximation methods, and your RISC program offers 
  approximate solutions that will be sufficient for our purposes. We will use 
  them without further comment.
Vocabulary: Infiltration, runoff, water table, groundwater, unsaturated zone, vadose zone, saturated zone, root zone, capillary fringe, aquifer, Darcy's law, hydraulic conductivity, unconfined aquifer, confined aquifer, porosity, isotropic, and anisotropic.
End of Sub-module BACK