Here are the homework problems and answer choices. Use the electronic homework 8 quiz on blackboard to submit your answers. The questions and answers will not be repeated in the Blackboard Homework, just the letter of the answers. (Some of the questions are worth 2 points.)
1. Go to the IRIS site, then "Substance File List" and pull up the IRIS pdf sheet for ammonia. Skim the data but look at pages 3 and 4 in some detail. You will need to read some of that in more detail to answer the questions. What is the RfC for ammonia? (Read all the answer choices.)
a.) 5E-1 mg/m^3
b.) 0.5 mg/m^3
c.) 500 ug/m^3
d.) any/all of the above
2. What is the Uncertaintly Factor (UF)?
a.) 10
b.) 15
c.) 5
d.) 3
e.) None of the above.
3. There is no Modifying Factor (MF) given, which means it will be 1 in the calculations. Rather, the EPA gives a text that says on the bottom of page 5, essentially:
a.) The EPA had low confidence in the toxicology data and its evaluation.
b.) The EPA had medium confidence in the data.
c.) The multifactorial study had not been done.
d.) The multifactorial study had been done, but it was negative.
4. What is the RfC expressed as ppm?
a.) 1 ppm
b.) 14 ppm
c.) 0.734 ppm calculated
d.) 0.7 ppm expressed
e.) Either c.) or d.); d.) is preferred.
5. If the residents of a trailer park were exposed by inhalation to 1.2 ppm of ammonia, what is the HQ and what does it mean?
a.) 17, the park is quite safe
b.) 0.1, the park is not safe.
c.) 1.7, there is a concern about adverse health effects at this exposure.
d.) 100, no problem
6. Why was the UF of 10 not used for extrapolation from animals to humans?
a.) It was used.
b.) It is never used for inhalation experiments.
c.) Good 'ol boys at the EPA
d.) They had sufficient human data.
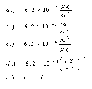
7. Go to the IRIS list for Coke Oven Emissions. Skim through II.C.4. From II.C.1, what is the Inhalation Unit Risk? (Read all the answer choices.)

8. Go to the IRIS list for Dichloromethane. You have a site
that will leach dichloromethane into the drinking water such that some people
will be exposed to 500 ug/L in their drinking water for their lifetimes. Assuming
a 70 kg adult drinks 2 L of water a day. What is the hazard quotient from
oral exposure if drinking water is their only exposure?
a.) 0.2
b.) 0.24 mg/L
c.) 2 (approximately)
d.) 0.002
9. What is the critical health effect that this oral RfD is based upon?
a.) Cancer of the stomach
b.) Liver toxicity
c.) Birth defects
d.) Not given
10. What is the increased incidence of cancer for a person exposed for a lifetime to this dose in problem 8, based on the slope factor?
a.) 1 in 10,000
b.) 1 in 100,000
c.) 14 in 1,000,000
d.) 1 in 10,000,000
11. How do you add these two risks, cancer and non-cancer, together in order to characterize risk.
a.) Use the slope factor and convert to unit risk.
b.) Use the unit risk directly.
c.) You don't add them. They are expressed separately.
d.) The non-cancer risk is so high, you don't need to express the cancer risk.