For a unit risk example, let's consider Coke oven emissions.
Coke oven emissions are a known human carcinogen, for sure. But for quantitative data, we will still have to use animal experiments. Let's assume these have indicated that the oral dose that causes cancer in 1% of the animals is 4.6 micrograms (ug)/kg-day. Also assume that this is the point of departure for calculation of the slope factor. Therefore the SF is
Two assumptions are now necessary. First that a 70 kg adult inhales 20 cubic meters of air each day. Second we assume that all of the contaminant is absorbed.

this gives us a factor for converting oral doses into inhalation concentrations. We just multiply this factor by the SF and get the unit risk.
Unit Risk: The upper-bound excess lifetime cancer risk estimated to result from continuous exposure to an agent at a concentration of 1 µg/L in water, or 1 µg/m3 in air. The interpretation of unit risk would be as follows: if unit risk = 1.5 x 10-6 µg/L, 1.5 excess tumors are expected to develop per 1,000,000 people if exposed daily for a lifetime to 1 µg of the chemical in 1 liter of drinking water.

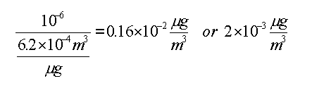
Like SF, the unit risk is an effect divided by a dose, in this case a concentration. So in this case, we would expect 6.2 cancers per 10,000 exposed to 1 µg/m3. If we wanted to calculate the concentration that results in an increase in cancer incidence of 1 in a million, just divide that effect by the unit risk. After rounding we see that 2 x 10-3 ug/m3 will yield 1 excess cancer incidence per million so exposed.

What concentration will yield 18 excess cancer incidences per million so exposed
End of Submodule 7A.